首页
在线开户
软件下载
行情中心
帮助中心
富得学院
在线客服
关于我们
用户中心
立即开户
当前位置:
首页
>
合约细则
>
外汇
分类
商品
指数
股票
外汇
数字货币
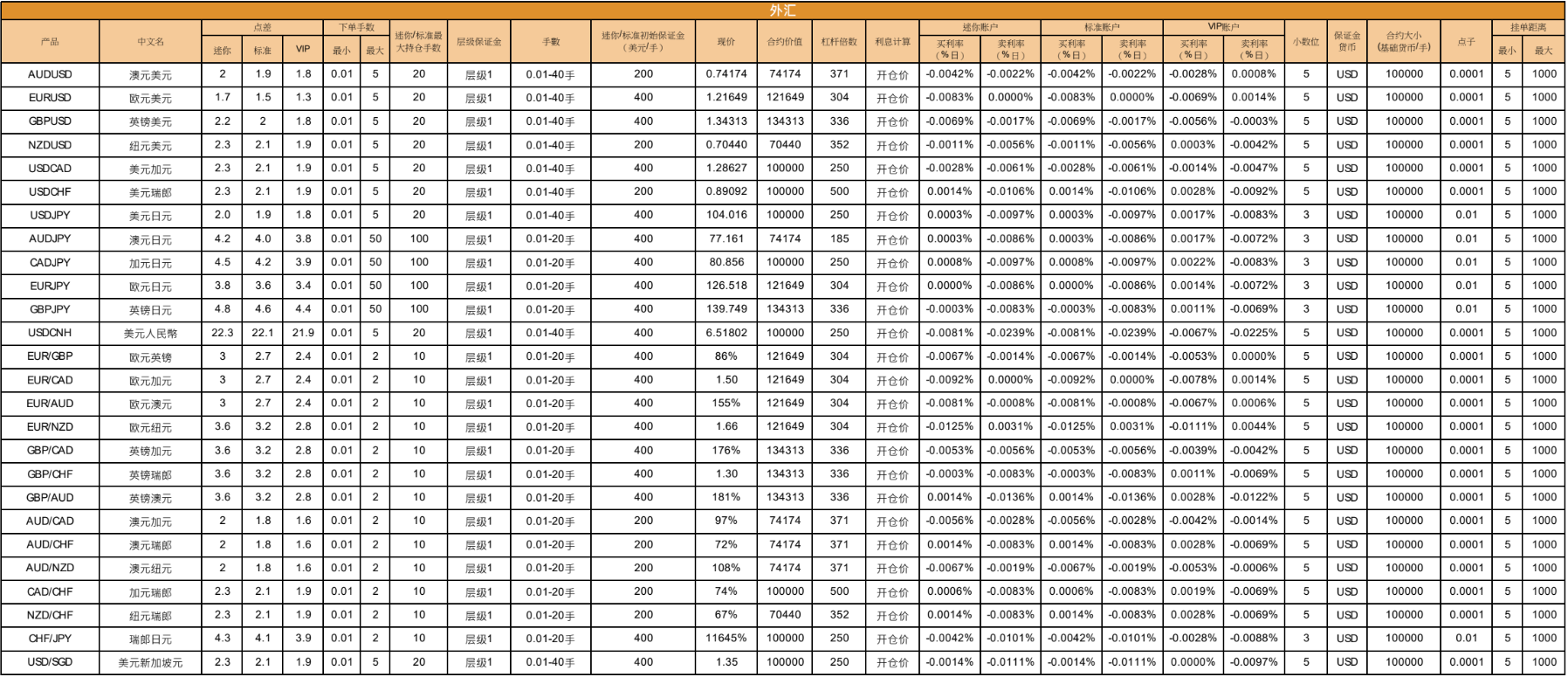
外汇
×